티스토리 뷰
Vector는 소문자 bold체로 나타냅니다(v) 소문자이면서 bold체가 아닌 경우(a)는 상수를 나타냅니다.
제곱이나 아래첨자를 업데이트 하지만 티스토리 블로그 특성상 작성이 불편하기 때문에 오타가 있을 수 있습니다.
multiple은 기호(x)로, 내적(dot product)은 기호 ()로 표시합니다.
구체적인 내용에 대한 전달이 아니라 기초적인 선형대수학의 정리를 모아놓는 포스팅입니다.
작성되는 포스팅은 모두 인프런 - 타블렛깍는노인 조범희님의 강의를 바탕으로 작성했습니다.
2023.05.25 - [Background/Math] - 선형대수학 용어 및 기초 이론 정리/모음
선형대수학 용어 및 기초 이론 정리/모음
Matrix는 대문자 bold(A), Vector는 소문자 bold체로 나타냅니다(a). 소문자이면서 bold체가 아닌 경우(a)는 상수를 나타냅니다. 제곱이나 아래첨자를 업데이트 하지만 티스토리 블로그 특성상 작성이 불
biomadscientist.tistory.com
- 벡터(vector) : 크기와 방향을 가지는 단위
- 행렬(matrix) : 벡터를 선형변환시키는 function
- 벡터의 내적(dot product) : size가 같은 두 벡터를 elemental-wise로 곱하고 그 결과를 모두 더한 값. 반드시 그 결과는 하나의 scalar가 된다.
- 두 Matrix 사이의 Multiplication(행렬곱) : 두 행렬 사이에 multiplication이 정의될 때, 중고등학교 때 배운 행렬의 곱셈 순서에 따라 각각의 벡터들을 내적한 결과들을 모아두는 연산
- 행렬의 곱은 개념적으로 알아두는 것보다는 그냥 관념적으로 중고등학생 때 배운 그대로 연산하는 편이 차라리 이해하기 쉬운 것 같음
정리1.
A, B, C가 모두 같은 size의 matrix일 때 기본적인 사칙연산은 모두 사용 가능하다.
- A + B, A + C, B + C ...
- A - B, A - C, B - C ...
- A x B, A x C, B x C ...
- 단, A x B =! B x A
- A / B, A / C, B / C ... (행렬의 나눗셈은 우리에게 익숙하지 않은 개념이지만 가능하다. 그러나 기초적인 수준의 선형대수에서는 굳이 행렬의 나눗셈까지 알 필요는 없는 듯?)
- A x B가 성립하려면 A의 Column 수와 B의 Row의 수가 일치해야한다.
- A : n * p 이면 B는 반드시 p * m 형태이고 A x B의 결과는 n * m 형태가 된다.
정리2.
A는 m * n Matrix이고 B와 C는 A와 합과 행렬 곱이 가능한 임의의 size의 matrix라고 하자 이때
- A(BC) = (AB)C
- A(B + C) = AB + AC
- (B + C)A = BA + CA
- r(AB) = (rA)B = A(rB)
- ImA = A = AIn
- 일반적으로 AB != BA이다. 만약 AB = BA이면 A와 B는 commute라고 한다.
- AB = AC라도, 일반적으로 B != C 이다.
- AB = 0이라도, 일반적으로 A나 B는 0이 아니다.
- Transpose : A가 m x n Matrix일때, AT는 n x m Matrix이며 A의 column vector가 AT의 row vector가 된다.

정리3.
Matrix A와 B가 행렬 합과 행렬 곱을 만족하는 size의 Matrix일 때 다음 성질을 만족한다.
- (AT)T = A
- (A + B)T = AT + BT
- 모든 scalar value r에 대해 (rA)T = rAT
- (AB)T = BTAT
- Invertable matrix(가역행렬) : 역행렬(Inverse matrix)은 반드시 행과 열의 수가 같은 n x n Matrix에서만 정의된다. 임의의 n x n Matrix A가 존재할 때, n x n Matrix C에 대하여 CA = I이고 AC = I일때 즉, 역행렬이 존재할 때 A matrix는 invertable matrix라고 한다.
- 이때 C = A-1로 표현하고 A의 역행렬(inverse matrix)이라고 한다. 즉, A-1A = I = AA-1
- A matrix가 invertable 할때(가역행렬일때), CA = I, AC = I로 만드는 Matrix C(= A-1)는(=역행렬) 오직 하나만 존재한다.
- Non-singular : Matrix A가 Invertable하다면 이를 non singular라고 한다.
- singular : Matrix A가 Not Invertable하다면 이것을 singular라고 한다.
정리4.
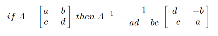
역행렬의 정의

- 단, A-1이 존재한다는 가정을 전제로 한다. (= ad-bc !=0을 전제로 한다)
- 사실 이것은 매우 간단한 형태의 2 x 2 Matrix에 대한 역행렬의 정의이며, 더 큰 행렬들에 대한 역행렬도 이것과 같은 규칙에 의해 결정된다.
- 그러나 우리는 보통 뒤에서 배울 '행렬식(det)'개념에 대한 이해만 바탕이 된다면 역행렬 계산은 규칙에 의해 진행되기 때문에 그냥 컴퓨터 연산으로 간단하게 구할 수 있다.
- 여기서 ad-bc를 행렬식이라고 하며 det(A)와 같이 표현한다.
정리5.
임의의 n x n Matrix A가 Invertable하다면 모든 b ∈ Rn에 대해 Ax = b는 unique solution을 가지며 이때 x = A-1b이다.
- x에 A-1b를 대입해보면 무슨말인지 쉽게 이해가 된다.
- A(A-1b) = (AA-1)b = b
정리6.
역행렬과 전치행렬에 대해 다음 세 가지 성질을 만족한다.
- A가 Invertable matrix일때 A-1도 invertable matrix이며 (A-1)-1 = A이다.
- A와 B가 n x n Matrix이고 Invertable하다면, AB matrix도 invertable matrix이며 AB의 inverse matrix는 (AB)-1 = B-1A-1이다.
- A가 Invertable 하다면, AT도 invertable하다. 이떄 AT의 inverse matrix는 (A-1)T이다.
- 즉 AA-1 = I이면, AT도 역행렬이 존재하고, AT(A-1)T=I이다.
- A = AT 이면 A-1 = (A-1)T이다.
'Background > Math' 카테고리의 다른 글
| 선형대수 Matrix algebra 용어 및 기초이론 정리/모음 (3) - Partitioned Matrix / Matrix Factorization (0) | 2023.05.29 |
|---|---|
| 선형대수 Matrix algebra 용어 및 기초이론 정리/모음 (2) - Elementry matrix (0) | 2023.05.27 |
| 선형대수학 Linear Algebra 용어 및 기초 이론 정리/모음 (0) | 2023.05.25 |
| [오일석 기계학습] 10.4 - 확률 그래피컬 모델 RBM과 DBN (3) (0) | 2023.05.06 |
| [오일석 기계학습] 2.2 수학 - 가우시안 분포/ 베르누이/ 이항분포 (1) | 2023.04.29 |
댓글
공지사항
최근에 올라온 글
최근에 달린 댓글
- Total
- Today
- Yesterday
TAG
- dataloader
- manimtutorial
- antigen antibody interaction prediction
- 오일석기계학습
- MatrixAlgebra
- ai신약개발
- 파이썬
- Manimlibrary
- elementry matrix
- eigenvalue
- 베이즈정리
- 나노바디
- eigenvector
- MLE
- 3B1B따라잡기
- 이왜안
- 항원항체결합예측모델
- Matrix algebra
- 3b1b
- 백준
- manim library
- nanobody
- 논문리뷰
- MorganCircularfingerprint
- 인공지능
- 최대우도추정
- 기계학습
- marginal likelihood
- manim
- 선형대수
| 일 | 월 | 화 | 수 | 목 | 금 | 토 |
|---|---|---|---|---|---|---|
| 1 | 2 | 3 | 4 | 5 | 6 | 7 |
| 8 | 9 | 10 | 11 | 12 | 13 | 14 |
| 15 | 16 | 17 | 18 | 19 | 20 | 21 |
| 22 | 23 | 24 | 25 | 26 | 27 | 28 |
글 보관함