티스토리 뷰
선형대수학 Eigenvalues and Eigenvectors 정리/모음 (1) - EigenVector / EigenValues
벼랑끝과학자 2023. 6. 1. 04:06Vector는 소문자 bold체로 나타냅니다(v) 소문자이면서 bold체가 아닌 경우(a)는 상수를 나타냅니다.
제곱이나 아래첨자를 업데이트 하지만 티스토리 블로그 특성상 작성이 불편하기 때문에 오타가 있을 수 있습니다.
구체적인 내용에 대한 전달이 아니라 기초적인 선형대수학의 정리를 모아놓는 포스팅입니다.
작성되는 포스팅은 모두 인프런 - 타블렛깍는노인 조범희님의 강의를 바탕으로 작성했습니다.
이전 시리즈
2023.05.25 - [Background/Math] - 선형대수학 Linear Algebra 용어 및 기초 이론 정리/모음
포스팅을 이해하기 위해 참고해야 할 정리들


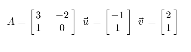
다음과 같은 Matrix A와 vector u, v를 보자

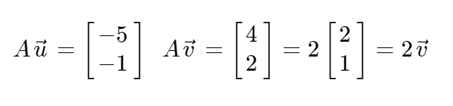
이때 각 벡터를 matrix A로 transformation해보면 다음과 같다.

u벡터는 A matrix 연산 결과가 자기자신의 곱으로 나타나지 않는다. 반면 v벡터는 A matrix 연산 결과가 2v로 자기자신의 scalar 곱으로 나타난다.
- EigenVector / EigenValue : 임의의 n*n Matrix A가 주어졌을 때, NonZero vector x에 대하여 Ax = λx를 만족할 때 x를 λ에 대한 EigenVector, λ를 EigenValue라고 한다.
- 다른 말로 표현하면 Ax = λx (또는 (A - λI)x = 0)가 nontrivial solution을 가질 때, 해당 solution을 λ에 대한 EigenVector라고 한다.
- 포스팅 초반부에 올려둔 정리8. 3참고!
- 상당히 헷갈릴 수 있는데, Eigenvector는 0벡터를 포함하지 않는다. 그러나 Eigenvalue는 0이어도 된다.
- Eigenspace : 결국 Eigenvector의 존재 조건은 '(A - λI)x = 0이 nontrivial solution을 가지는가' 인데, 이때, A-λI의 Null space가 Eigenspace가 된다.
- 이것도 참 헷갈리기 쉬운데, Null space의 정의에 의해 (Null space는 Subspace이므로) Eigenspace는 Zero vector를 반드시 포함해야한다.
- Null space는 Ax = 0의 모든 solution set이었음을 기억하자. 만약 Null space에 대한 기억이 안나거나 모르고 있다면 먼저 Subspace에 대한 포스팅을 이해하고 와야한다.
https://biomadscientist.tistory.com/89
선형대수 Matrix algebra 용어 및 기초이론 정리/모음 (4) - Subspaces
Vector는 소문자 bold체로 나타냅니다(v) 소문자이면서 bold체가 아닌 경우(a)는 상수를 나타냅니다. 제곱이나 아래첨자를 업데이트 하지만 티스토리 블로그 특성상 작성이 불편하기 때문에 오타가
biomadscientist.tistory.com
- 정리하자면, Eigenvalue는 실수값 어떤 형태든 상관 없다. (0도 가능하다) Eigenvector는 반드시 NonZero vector이다. Eigenspace는 (A - λI)x = 0의 Null space로서 반드시 Zero vector를 포함해야 한다.
정리1.
Triangular Matrix가 주어졌을 때, diagonal term은 모두 EigenValue이다.
- TriagularMatrix는 다음과 같은 의미를 가진다

예를들어 어떤 UpperTriangularMatrix A를 생각해보자. A와 (A - λI)는 다음과 같이 나타낼 수 있다.


- 이때, Eigenvector의 정의로부터 만약 λ가 EigenValue라면 (A - λI)x = 0가 nontrivial solution을 가져야 한다.
- (A - λI)x = 0가 nontrivial solution을 가진다는 말을 pivot position의 관점에서 보면 pivot position이 존재하지 않는 column이 있다면, 해당 column에 대한 variable x는 반드시 free variable로 나타내어지고 이말은 반드시 non trivial solution이 존재한다는 말이 된다.
- 다시 λ를 a11, a22, a33(diagonal term)으로 가정해보자,
- λ = a11일 때는 (A - λI)의 첫번째 column이 all zero가 되어 x1이 free variable이 된다.
- λ = a22일 때는 (A - λI)의 두번째 column이 all zero가 되어 x2가 free variable이 된다.
- λ = a33일 때는 (A - λI)의 세번째 column이 all zero가 되어 x3가 free variable이 된다.
- 정리해보면 λ(EigenValue)가 a11~a33(diagonal term)일 때, 그에 상응하는 EigenVector가 반드시 존재한다.
- 따라서 임의의 Triangular Matrix A의 diagonal term은 모두 λ(EigenValue)이다.
- 단, 여기서 a11~a33의 값이 다르다는 조건은 없기 때문에, 각각이 서로 같을 수 있고, λ값도 같을 수 있다.
- 따라서 임의의 n * n Matrix A가 주어졌을 때, 이에 상응하는 EigenValue는 최소 0개에서 최대 n개이다.
LowerTriangularMatrix A에 대해서도 diagonal term이 EigenValue임을 증명할 수 있다. UpperTriangular에서 보인 방법과는 다르게 그냥 A와 AT가 서로 같은 EigenValue를 가지는 것을 증명하면 되는데 굳이 이 내용까지 이해할 필요는 없을 것 같고, 그냥 λ가 A의 EigenValue이면 동시에 AT의 EigenValue이라는 사실을 기억하면 된다.
정리2.
n*n Matrix A의 EigenVector v1 ~ vr과 서로 다른 EigenValue λ1~λr이 주어졌을 때 (이때 반드시 n ≥ r) set S={v1, ..., vr}은 linearly independent하다.
증명과정이 상당히 헷갈리는데 차근차근 읽어보면 이해는 가능하다.
이게 설명하기가 쉽지 않은데 차근차근 한번 설명해 보자. 정리2를 증명하기 위해 귀류법을 이용해보자
만약, v1~vr을 linearly dependent하다고 반대로 가정 해보자. (귀류법)
포스팅 초반에 올려둔 정리7에 의해 반드시 c1v1 + ... + cp-1vp-1 = vp로 나타내어지는 vp가 존재한다.
정리7의 b)를 증명할 때, v1~vp-1은 linearly independent하다고 가정하므로 여기서도 v1~vp-1은 linearly independent하다고 가정해야 한다.
따라서 c1v1 + ... + cp-1vp-1 = 0을 만족하는 해는 c1 ~ cp-1 = 0밖에 존재하지 않는다.
c1v1 + ... + cp-1vp-1 = vp의 양 변에 matrix A를 multiplication 해보자. v1~vp는 조건에 의해 EigenVector이고, EigenVector의 정의는 Ax = λx이므로 c1Av1 = c1λ1v1와 같다. 각각의 EigenVector vn에 대한 EigenValue를 λn이라고 하면 식은 다음과 같다. c1λ1v1 + ... + cp-1λp-1vp-1 = λpvp ... (5)
그리고 c1v1 + ... + cp-1vp-1 = vp의 양 변에 λp를 multiplication 하면 c1λpv1 + ... + cp-1λp-1vp-1 = λpvp ... (6)
5번과 6번의 식을 빼면 c1(λ1 - λp)v1 + ... + cp-1(λp-1 - λp)vp-1 = 0이다.
이때 조건에서 모든 EigenValue는 서로 다르다고 했으므로 (λn - λp) term은 전부 NonZero이다.
문제의 조건에서 v1~vp-1은 linearly independent하므로 c1(λ1 - λp)v1 + ... + cp-1(λp-1 - λp)vp-1 = 0를 만족하는 식은 반드시 c1~cp-1 = 0 인 Trivial solution뿐이다.
다시 c1v1 + ... + cp-1vp-1 = vp 처음 가정으로 돌아와보면, c1~cp-1 = 0이고 따라서 vp = 0인데 vp는 EigenVector이므로 NonZero Vector여야 한다. 즉, v1~vr을 linearly dependent하다고 설정한 가정에 모순되므로 v1~vr은 linearly dependent할 수 없고, linearly independent하다.
'Background > Math' 카테고리의 다른 글
- Total
- Today
- Yesterday
- 인공지능
- Matrix algebra
- 3B1B따라잡기
- 기계학습
- 논문리뷰
- manim library
- MorganCircularfingerprint
- 3b1b
- eigenvector
- 최대우도추정
- dataloader
- elementry matrix
- manim
- 베이즈정리
- MLE
- Manimlibrary
- nanobody
- MatrixAlgebra
- 나노바디
- 파이썬
- 오일석기계학습
- eigenvalue
- manimtutorial
- antigen antibody interaction prediction
- 백준
- ai신약개발
- 선형대수
- 항원항체결합예측모델
- marginal likelihood
- 이왜안
| 일 | 월 | 화 | 수 | 목 | 금 | 토 |
|---|---|---|---|---|---|---|
| 1 | 2 | 3 | ||||
| 4 | 5 | 6 | 7 | 8 | 9 | 10 |
| 11 | 12 | 13 | 14 | 15 | 16 | 17 |
| 18 | 19 | 20 | 21 | 22 | 23 | 24 |
| 25 | 26 | 27 | 28 | 29 | 30 | 31 |